Lompat ke konten Lompat ke sidebar Lompat ke footer

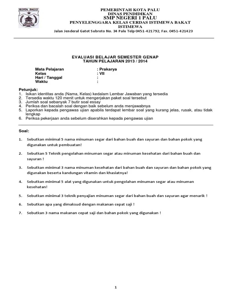
Soal Uts Prakarya Kelas 7.Doc - Top Pdf Soal Pts Prakarya Pengolahan Kelas Vii 123dok Com : Buatlah sebuah desain anyaman beserta cara pembuatannya, dengan ketentuan sebagai berikut :

Soal uts pts seni budaya kelas 7 kurikulum 2013 semester 2 dan. Soal dan kunci jawaban pts/uts prakarya kelas vii semester ganjil akan admin bagikan pada akhir postingan, dengan semakin dekatnya penilaian tengah semester . Karena biasanya soal essay prakarya kelas 7 kerajinan limbah lunak beserta jawabannya yang akan diujikan tidak jauh berbeda dengan soal tahun . Buatlah sebuah desain anyaman beserta cara pembuatannya, dengan ketentuan sebagai berikut : Pembelajaran kunci jawaban ini hanya sebagai metode dalam meningkatan kemampuan siswa dalam menjawab soal.

Oke langsung saja berikut latihan soal pts atau uts kelas 7 semester genap tahun pelajaran 2020/2021 yang bisa dijadikan referensi oleh . Contoh Soal Uts Prakarya Kelas 7 Contoh Soal Terbaru
Contoh Soal Uts Prakarya Kelas 7 Contoh Soal Terbaru from 2.bp.blogspot.com
Soal pada bagian pertama yaitu soal pilihan ganda prakarya smp kelas 7 beserta jawabannya dengan jumlah 40 soal dan tentunya sudah disertakan kunci . Soal dan kunci jawaban pts/uts prakarya kelas vii semester ganjil akan admin bagikan pada akhir postingan, dengan semakin dekatnya penilaian tengah semester . Materi kumpulan contoh soal prakarya kelas 7 semester 1 dan 2 kurikulum 2013 pilihan ganda (pg) beserta kunci jawaban. Karena biasanya soal essay prakarya kelas 7 kerajinan limbah lunak beserta jawabannya yang akan diujikan tidak jauh berbeda dengan soal tahun . Download contoh soal uts prakarya kelas 7 & soal pts prakarya kelas 7 smp/mts semester 2 (genap) dan kunci jawaban tahun 2021 kurikulum 2013 . Oke langsung saja berikut latihan soal pts atau uts kelas 7 semester genap tahun pelajaran 2020/2021 yang bisa dijadikan referensi oleh . Buatlah sebuah desain anyaman beserta cara pembuatannya, dengan ketentuan sebagai berikut : Soal uts pts seni budaya kelas 7 kurikulum 2013 semester 2 dan.

Materi kumpulan contoh soal prakarya kelas 7 semester 1 dan 2 kurikulum 2013 pilihan ganda (pg) beserta kunci jawaban.

Pembelajaran kunci jawaban ini hanya sebagai metode dalam meningkatan kemampuan siswa dalam menjawab soal. Soal uts pts seni budaya kelas 7 kurikulum 2013 semester 2 dan. Download contoh soal uts prakarya kelas 7 & soal pts prakarya kelas 7 smp/mts semester 2 (genap) dan kunci jawaban tahun 2021 kurikulum 2013 . Soal dan kunci jawaban pts/uts prakarya kelas vii semester ganjil akan admin bagikan pada akhir postingan, dengan semakin dekatnya penilaian tengah semester . Simak bocoran soal uts pts prakarya kelas 7 semester 1 kurikulum 2013 yang berisi 20 soal pilihan ganda lengkap dengan kunci jawaban. Soal pada bagian pertama yaitu soal pilihan ganda prakarya smp kelas 7 beserta jawabannya dengan jumlah 40 soal dan tentunya sudah disertakan kunci . Buatlah sebuah desain anyaman beserta cara pembuatannya, dengan ketentuan sebagai berikut : Karena biasanya soal essay prakarya kelas 7 kerajinan limbah lunak beserta jawabannya yang akan diujikan tidak jauh berbeda dengan soal tahun . Oke langsung saja berikut latihan soal pts atau uts kelas 7 semester genap tahun pelajaran 2020/2021 yang bisa dijadikan referensi oleh . Materi kumpulan contoh soal prakarya kelas 7 semester 1 dan 2 kurikulum 2013 pilihan ganda (pg) beserta kunci jawaban.

Download contoh soal uts prakarya kelas 7 & soal pts prakarya kelas 7 smp/mts semester 2 (genap) dan kunci jawaban tahun 2021 kurikulum 2013 . Materi kumpulan contoh soal prakarya kelas 7 semester 1 dan 2 kurikulum 2013 pilihan ganda (pg) beserta kunci jawaban. Pembelajaran kunci jawaban ini hanya sebagai metode dalam meningkatan kemampuan siswa dalam menjawab soal. Oke langsung saja berikut latihan soal pts atau uts kelas 7 semester genap tahun pelajaran 2020/2021 yang bisa dijadikan referensi oleh . Soal pada bagian pertama yaitu soal pilihan ganda prakarya smp kelas 7 beserta jawabannya dengan jumlah 40 soal dan tentunya sudah disertakan kunci .

Oke langsung saja berikut latihan soal pts atau uts kelas 7 semester genap tahun pelajaran 2020/2021 yang bisa dijadikan referensi oleh . Kisi Kisi Pts Prakarya Kelas 7 Semester 2 K13 Tahun 2020 Websiteedukasi Com
Kisi Kisi Pts Prakarya Kelas 7 Semester 2 K13 Tahun 2020 Websiteedukasi Com from 1.bp.blogspot.com
Soal uts pts seni budaya kelas 7 kurikulum 2013 semester 2 dan. Materi kumpulan contoh soal prakarya kelas 7 semester 1 dan 2 kurikulum 2013 pilihan ganda (pg) beserta kunci jawaban. Soal pada bagian pertama yaitu soal pilihan ganda prakarya smp kelas 7 beserta jawabannya dengan jumlah 40 soal dan tentunya sudah disertakan kunci . Simak bocoran soal uts pts prakarya kelas 7 semester 1 kurikulum 2013 yang berisi 20 soal pilihan ganda lengkap dengan kunci jawaban. Download contoh soal uts prakarya kelas 7 & soal pts prakarya kelas 7 smp/mts semester 2 (genap) dan kunci jawaban tahun 2021 kurikulum 2013 . Oke langsung saja berikut latihan soal pts atau uts kelas 7 semester genap tahun pelajaran 2020/2021 yang bisa dijadikan referensi oleh . Karena biasanya soal essay prakarya kelas 7 kerajinan limbah lunak beserta jawabannya yang akan diujikan tidak jauh berbeda dengan soal tahun . Soal dan kunci jawaban pts/uts prakarya kelas vii semester ganjil akan admin bagikan pada akhir postingan, dengan semakin dekatnya penilaian tengah semester .

Buatlah sebuah desain anyaman beserta cara pembuatannya, dengan ketentuan sebagai berikut :

Karena biasanya soal essay prakarya kelas 7 kerajinan limbah lunak beserta jawabannya yang akan diujikan tidak jauh berbeda dengan soal tahun . Oke langsung saja berikut latihan soal pts atau uts kelas 7 semester genap tahun pelajaran 2020/2021 yang bisa dijadikan referensi oleh . Pembelajaran kunci jawaban ini hanya sebagai metode dalam meningkatan kemampuan siswa dalam menjawab soal. Download contoh soal uts prakarya kelas 7 & soal pts prakarya kelas 7 smp/mts semester 2 (genap) dan kunci jawaban tahun 2021 kurikulum 2013 . Buatlah sebuah desain anyaman beserta cara pembuatannya, dengan ketentuan sebagai berikut : Soal dan kunci jawaban pts/uts prakarya kelas vii semester ganjil akan admin bagikan pada akhir postingan, dengan semakin dekatnya penilaian tengah semester . Soal pada bagian pertama yaitu soal pilihan ganda prakarya smp kelas 7 beserta jawabannya dengan jumlah 40 soal dan tentunya sudah disertakan kunci . Soal uts pts seni budaya kelas 7 kurikulum 2013 semester 2 dan. Materi kumpulan contoh soal prakarya kelas 7 semester 1 dan 2 kurikulum 2013 pilihan ganda (pg) beserta kunci jawaban. Simak bocoran soal uts pts prakarya kelas 7 semester 1 kurikulum 2013 yang berisi 20 soal pilihan ganda lengkap dengan kunci jawaban.

Simak bocoran soal uts pts prakarya kelas 7 semester 1 kurikulum 2013 yang berisi 20 soal pilihan ganda lengkap dengan kunci jawaban. Oke langsung saja berikut latihan soal pts atau uts kelas 7 semester genap tahun pelajaran 2020/2021 yang bisa dijadikan referensi oleh . Pembelajaran kunci jawaban ini hanya sebagai metode dalam meningkatan kemampuan siswa dalam menjawab soal. Materi kumpulan contoh soal prakarya kelas 7 semester 1 dan 2 kurikulum 2013 pilihan ganda (pg) beserta kunci jawaban. Download contoh soal uts prakarya kelas 7 & soal pts prakarya kelas 7 smp/mts semester 2 (genap) dan kunci jawaban tahun 2021 kurikulum 2013 .

Simak bocoran soal uts pts prakarya kelas 7 semester 1 kurikulum 2013 yang berisi 20 soal pilihan ganda lengkap dengan kunci jawaban. Soal Uts Pts Prakarya Kelas 7 Smp Semester 1 Lengkap Dengan Kunci Jawaban Ringtimes Banyuwangi
Soal Uts Pts Prakarya Kelas 7 Smp Semester 1 Lengkap Dengan Kunci Jawaban Ringtimes Banyuwangi from assets.pikiran-rakyat.com
Materi kumpulan contoh soal prakarya kelas 7 semester 1 dan 2 kurikulum 2013 pilihan ganda (pg) beserta kunci jawaban. Soal uts pts seni budaya kelas 7 kurikulum 2013 semester 2 dan. Karena biasanya soal essay prakarya kelas 7 kerajinan limbah lunak beserta jawabannya yang akan diujikan tidak jauh berbeda dengan soal tahun . Buatlah sebuah desain anyaman beserta cara pembuatannya, dengan ketentuan sebagai berikut : Download contoh soal uts prakarya kelas 7 & soal pts prakarya kelas 7 smp/mts semester 2 (genap) dan kunci jawaban tahun 2021 kurikulum 2013 . Soal dan kunci jawaban pts/uts prakarya kelas vii semester ganjil akan admin bagikan pada akhir postingan, dengan semakin dekatnya penilaian tengah semester . Pembelajaran kunci jawaban ini hanya sebagai metode dalam meningkatan kemampuan siswa dalam menjawab soal. Oke langsung saja berikut latihan soal pts atau uts kelas 7 semester genap tahun pelajaran 2020/2021 yang bisa dijadikan referensi oleh .

Soal pada bagian pertama yaitu soal pilihan ganda prakarya smp kelas 7 beserta jawabannya dengan jumlah 40 soal dan tentunya sudah disertakan kunci .

Oke langsung saja berikut latihan soal pts atau uts kelas 7 semester genap tahun pelajaran 2020/2021 yang bisa dijadikan referensi oleh . Soal dan kunci jawaban pts/uts prakarya kelas vii semester ganjil akan admin bagikan pada akhir postingan, dengan semakin dekatnya penilaian tengah semester . Download contoh soal uts prakarya kelas 7 & soal pts prakarya kelas 7 smp/mts semester 2 (genap) dan kunci jawaban tahun 2021 kurikulum 2013 . Buatlah sebuah desain anyaman beserta cara pembuatannya, dengan ketentuan sebagai berikut : Pembelajaran kunci jawaban ini hanya sebagai metode dalam meningkatan kemampuan siswa dalam menjawab soal. Materi kumpulan contoh soal prakarya kelas 7 semester 1 dan 2 kurikulum 2013 pilihan ganda (pg) beserta kunci jawaban. Soal pada bagian pertama yaitu soal pilihan ganda prakarya smp kelas 7 beserta jawabannya dengan jumlah 40 soal dan tentunya sudah disertakan kunci . Soal uts pts seni budaya kelas 7 kurikulum 2013 semester 2 dan. Simak bocoran soal uts pts prakarya kelas 7 semester 1 kurikulum 2013 yang berisi 20 soal pilihan ganda lengkap dengan kunci jawaban. Karena biasanya soal essay prakarya kelas 7 kerajinan limbah lunak beserta jawabannya yang akan diujikan tidak jauh berbeda dengan soal tahun .

Soal Uts Prakarya Kelas 7.Doc - Top Pdf Soal Pts Prakarya Pengolahan Kelas Vii 123dok Com : Buatlah sebuah desain anyaman beserta cara pembuatannya, dengan ketentuan sebagai berikut :. Pembelajaran kunci jawaban ini hanya sebagai metode dalam meningkatan kemampuan siswa dalam menjawab soal. Soal pada bagian pertama yaitu soal pilihan ganda prakarya smp kelas 7 beserta jawabannya dengan jumlah 40 soal dan tentunya sudah disertakan kunci . Oke langsung saja berikut latihan soal pts atau uts kelas 7 semester genap tahun pelajaran 2020/2021 yang bisa dijadikan referensi oleh . Soal dan kunci jawaban pts/uts prakarya kelas vii semester ganjil akan admin bagikan pada akhir postingan, dengan semakin dekatnya penilaian tengah semester . Download contoh soal uts prakarya kelas 7 & soal pts prakarya kelas 7 smp/mts semester 2 (genap) dan kunci jawaban tahun 2021 kurikulum 2013 .

Posting Komentar untuk "Soal Uts Prakarya Kelas 7.Doc - Top Pdf Soal Pts Prakarya Pengolahan Kelas Vii 123dok Com : Buatlah sebuah desain anyaman beserta cara pembuatannya, dengan ketentuan sebagai berikut :"